Soal Seni Budaya Kelas 10

Jan 28, 2021

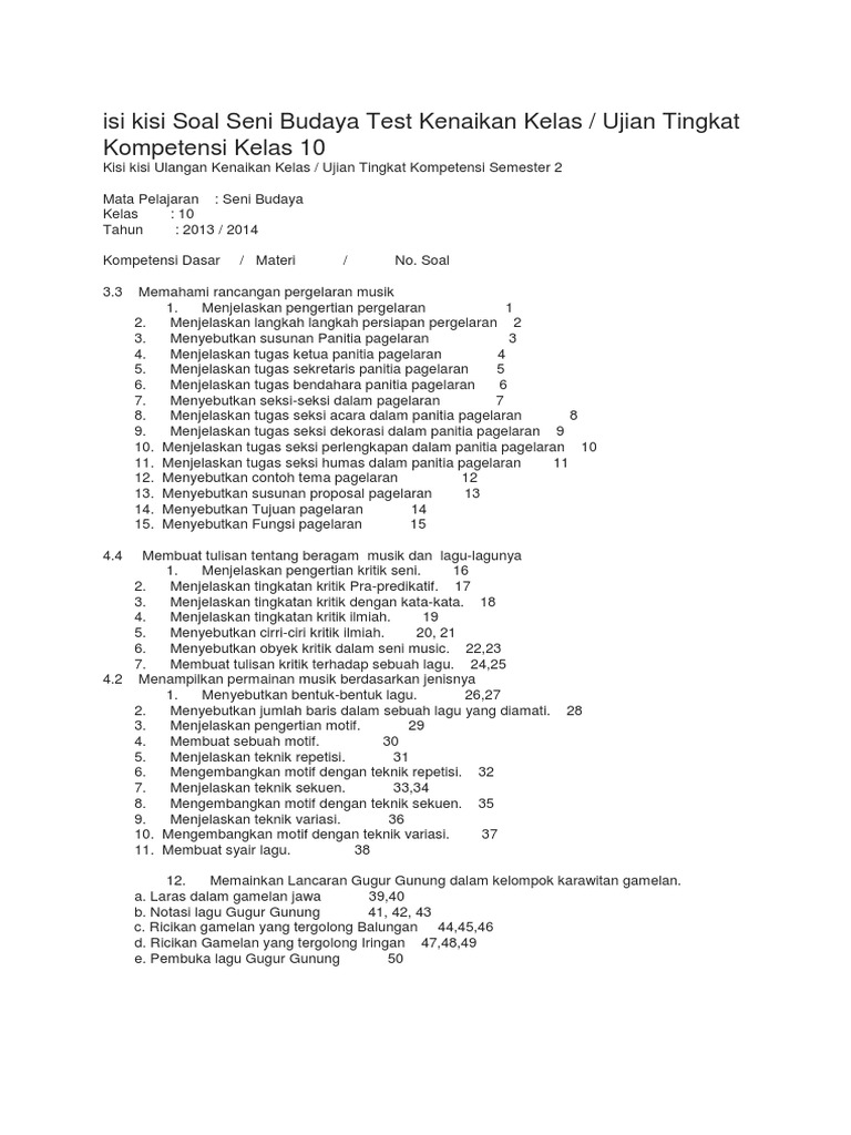
Soal seni budaya mid ganjil x DOC) Soal UAS Seni Budaya Kelas X 2016-2017.docx | Rahmad Ramadlan … Bank Soal Seni Budaya Sma Semester 1 Kelas X | comticonswtit’s Ownd Soal Seni Budaya Kelas 10 SMA/ MA dan Kunci Jawabannya 2019 Kumpulan Soal Seni Budaya SMA/SMK beserta Jawaban Soal Uts Seni Budaya Kelas x Soal Seni Budaya kelas XI Soal Seni Budaya Kelas 10 SMA/MA/SMK 2021 Semester 1 dan 2 Soal seni budaya kls viii uts soal uts seni budaya kelas viii Contoh Soal Seni Budaya Kelas 10 (X) SMA/MA/SMK Semest Soal UKK UAS Seni Budaya SBK Kelas 10 SMA Semester 1 | tipstriksib Kumpulan Soal Seni Budaya SMA/SMK beserta Jawaban Seni Budaya : SMA/MA/SMK/MAK Kelas X - Semester 2 - Kurikulum 2013 … Soal Ulangan Seni Musik Kelas X SMA Kartika III-1 Banyubiru Contoh Soal Hots Seni Budaya Kelas 9 | kumpulan materi pelajaran … Soal Uas Seni Budaya Kelas 9 Semester 1 – IlmuSosial.id soal seni budaya kelas 7 semester 1 & 2 dan jawabannya kurikulum … Lengkap - 40+ Contoh Soal PG Seni Budaya Kelas 10 SMA/MA dan Kunci … Soal kumpulan semester ganjil kls x 2009 2010 Contoh Soal Seni Budaya Beserta Jawabannya (1) | Materi Pelajaran 10 Soal Seni Budaya Kelas 10 SMA/SMK/MA 2021 dan Kunci Jawabannya Kisi Kisi Soal Uas Seni Budaya Image by zenaheiser6k SENI BUDAYA PARAMITHA: KISI-KISI SENIBUDAYA KELAS X SEMESTER 2 … Soal Essay Seni Budaya Kelas 8 Beserta Jawabannya Seni Budaya : SMA/MA/SMK/MAK Kelas X - Semester 1 - Kurikulum 2013 … Soal Dan Jawaban Seni Budaya Essay Soal Essay Dan Jawaban Seni Budaya Kelas X Soal Seni Budaya Kelas 10 Semester 2 Kurikulum 2013 - gotolasopa LATIHAN SOAL PAT SENI BUDAYA KELAS 8 SMP MTS KURIKULUM 2013 … Materi Seni Budaya Kelas 10 Kurikulum 2013 Revisi 2017 SOAL UAS SENI BUDAYA Contoh Soal Seni Budaya dan Ketrampilan Kelas IV SD Seni Budaya : SMA/MA/SMK/MAK Kelas X - Semester 1 - Kurikulum 2013 … Soal Seni Budaya Kelas 10 SMA/MA/SMK 2021 Semester 1 dan 2 Contoh Soal Seni Budaya Rupa Kelas 10 SMA/MA/SMK Semester Ganjil … Contoh Soal Hots Seni Budaya Kelas X | kumpulan materi pelajaran … Contoh Soal Seni Budaya Kelas 10 Semester 2 - Contoh Soal Terbaru Kisi Kisi Soal Uas Seni Budaya Smk Kelas Xii - guiter chords Soal PAS Seni Budaya Kelas 10 Semester 1 - Latihan Soal Online Soal Essay Seni Budaya Kelas X Semester 2 50 Soal Seni Budaya (Seni Musik) Pilihan Ganda + Jawaban - Muttaqin id Soal UTS Seni Budaya Kelas 10 Semester 1 Tahun 2019/2020 BUKU RINGKASAN DAN LATIHAN SOAL SENI BUDAYA SMA/MA-SMK/MAK KELAS X … Kisi Kisi Soal Seni Budaya Sd Kelas 4,5,6 Semester 1 markkcere … 100 Soal Seni Budaya Kelas 10 Kurikulum 2013 & Jawaban (Pilgan … Kunci Jawaban Soal Seni Rupa Kelas X 2018.pdf | DocDroid Soal hal.89 seni budaya kelas 8 Tolong di jawab yaa :) - Brainly.co.id Soal Seni Budaya Kelas 10 [+Kunci Jawaban] 2020 Materi Seni Budaya Kelas 10 Semester 1/2 Lengkap Kisi-kisi Soal Uas Seni Budaya Kelas X Rustiya [g0rwk79rjeqk] Soal Seni Budaya Kelas X Beserta Jawaban Part 1 Contoh Soal Seni Budaya Dan Jawabannya – Berbagai Contoh Contoh Soal Akm Smp Seni Budaya Terbaru 2019 bantu jawab soal seni budaya kelas 10 - Brainly.co.id Soal UAS Seni Budaya SMA SMK MA Kelas X, XI, XII & Kunci Jawaban … Kisi-kisi, Soal dan Kunci Jawaban Seni Budaya SMP Kelas 8 Semester … Soal Ujian PAT Seni Budaya Kelas X Kurikulum 2013 Plus Kunci … Kisi-kisi Soal Uas Seni Budaya Kelas x Rustiya Soal Seni Budaya Tentang Pertunjukan Musik - Cute766 Contoh Soal Hots Seni Budaya Kelas X | kumpulan materi pelajaran … Soal PTS Seni Budaya Kelas 10 Semester 1 - Latihan Soal Online Tugas SENI BUDAYA kelas 10 halaman 136-137 - Brainly.co.id Soal Seni Budaya Kelas 10 SMA/MA/SMK 2021 Semester 1 dan 2 Soal Essay Seni Budaya Kelas 11 Sma/Ma Dan Kunci Jawabnya Terbaru Contoh Soal Hots Seni Budaya Kelas 9 | kumpulan materi pelajaran … Soal Dan Jawaban Seni Budaya Sma Kelas Xi Semester 1 | My First JUGEM soal seni budaya kelas 7 - Brainly.co.id Soal essay seni budaya kelas 11 semester 2 Una Mirada B Jawaban Seni Budaya Kelas 10 Halaman 7 - Guru Galeri 55 Contoh Soal UAS Seni Budaya Kelas 10 SMA MA dan Kunci Jawabnya Contoh Soal Seni Budaya Kelas 10 – Berbagai Contoh Materi Komik Sbk Kelas 8 – IlmuSosial.id Soal Seni Budaya Kelas X Beserta Jawaban Part 2 Soal Dan Jawaban Seni Budaya Essay 100 Soal Seni Budaya Kelas 10 Kurikulum 2013 & Jawaban (Pilgan … Contoh Soal Seni Budaya Kelas X Dan Jawabannya (Essay) Part-7 … Soal essay seni rupa sma. paper written Soal dan Jawaban Seni Budaya Sem II Kls 8 - Jay Sims Soal Seni Budaya Kelas 9 Semester 1 Dan Kunci Jawaban - Guru Galeri LATIHAN SOAL SENI BUDAYA (SENI RUPA) - ppt download Soal Seni Budaya Kelas 7 Tahun 2021 SMP/MTs Semester 1 & 2 Kisi Soal Seni Budaya Kelas 10 Contoh Soal Seni Budaya Kelas 10 Kurikulum 2013 Semester 1 (PAS … Contoh Soal Seni Budaya Kelas 10 - Contoh Soal Terbaru Soal Seni Tari Kelas 10 Beserta Jawaban - Peranti Guru Soal Seni Budaya Kelas 8 SMP/MTS 2021 dan Kunci Jawabannya Contoh Soal Seni Budaya dan Ketrampilan Kelas IV SD Soal PAS/UAS SBK Kelas 10 SMA/MA Semester 1 Tahun 2020 - Andronezia UAS Seni Budaya Kelas 10 Semester 2 - Latihan Soal Online bantu jawab guys!!, itu soal seni budaya kelas 9 smp, halaman 77 … Contoh Soal Essay Seni Musik Dan Jawabannya Kelas 10 – IlmuSosial.id Contoh Soal Seni Budaya Kelas 10 – Berbagai Contoh Soal Seni Budaya Kelas 10 Semester 1 Kurikulum 2013 Lengkap … Kisi soal seni budaya Kelas x SMK Top PDF 50 Contoh Soal UAS Seni Budaya Kelas 10 SMA MA dan Kunci … Soal Seni Budaya Kelas 6 SD/MI 2021 dan Kunci Jawabannya Buku pegangan guru seni budaya sma kelas 10 kurikulum 2013 edisi revi… Teka teki silang alat musik seni budaya kelas 10 mohon di bantu …

Apa Itu Lay Up Shoot

Pengertian Kekuasaan Menurut Para Ahli