Persamaan Kedudukan Warga Negara Dalam Kehidupan Bermasyarakat Berbangsa Dan Bernegara

Jan 27, 2021

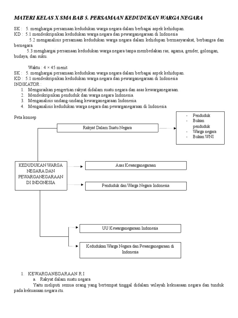
Ersamaan kedudukan warga negara dalam kehidupan bermasyarakat Persamaan Kedudukan Warga Negara Dalam Kehidupan Bermasyarakat Persamaan Kedudukan Warga Negara Dalam Berbagai Aspek Kehidupan Makalah persamaan kedudukan warga negara dalam kehidupan bermasyarakat Persamaan Kedudukan Warga Negara Dalam Kehidupan Bermasyarakat Makalah persamaan kedudukan warga negara dalam kehidupan bermasyarakat Persamaan Kedudukan Warga Negara Dalam Kehidupan Bermasyarakat PERSAMAAN KEDUDUKAN WARGA NEGARA DALAM BERBAGAI ASPEK KEHIDUPAN – catatan harian PERSAMAAN KEDUDUKAN WARGA NEGARA DALAM KEHIDUPAN BERMASYARAKAT, BERBANGSA, DAN BERNEGARA Ersamaan kedudukan warga negara dalam kehidupan bermasyarakat KELAS X SMA BAB 5 PERSAMAAN KEDUDUKAN WARGA NEGARA. - ppt download Persamaan Kedudukan Warga Negara Dalam Kehidupan Bermasyarakat Persamaan Kedudukan Warga Negara : Hak, Kewajiban, Asasnya KD 5.2. Menganalisis persamaan kedudukan warga negara dalam kehidupan bermasyarakat, berbangsa dan bernegara. | Media Pembelajaran PKN Makalah persamaan kedudukan warga negara dalam kehidupan bermasyarakat KELAS X SMA BAB 5 PERSAMAAN KEDUDUKAN WARGA NEGARA. - ppt download ASPEK PERSAMAAN KEDUDUKAN WARGA NEGARA Persamaan Kedudukan Hak dan Kewajiban Warga Indonesia Menurut UUD Persamaan Kedudukan Warga Negara dalam Kehidupan Bermasyarakat, Berbangsa, dan Bernegara | DO IT ! Kelas X KD v Persamaan Kedudukan Warga Negara Dalam Berbagai Aspek Kehidupan Makalah pkn persamaan kedudukan warga negara KELAS X SMA BAB 5 PERSAMAAN KEDUDUKAN WARGA NEGARA. - ppt download PPT - BAB 5 PowerPoint Presentation, free download - ID:5586972 Upaya Meningkatkan Hasil Belajar PKn dengan Metode Pembelajaran Aktif Team Quiz pada Siswa Kelas X Tehnik Permesinan SMK Teknolo Makalah persamaan kedudukan warga negara dalam kehidupan bermasyarakat Upaya Meningkatkan Hasil Belajar PKn dengan Metode Pembelajaran Aktif Team Quiz pada Siswa Kelas X Tehnik Permesinan SMK Teknolo menganalisis persamaan kedudukan warga negara dalam kehidupan masyarakat, berbangsa dan bernegara - Brainly.co.id Persamaan kedudukan warga Negara dalam berbagai aspek kehidupan | Cahaya Kehidupan Makalah persamaan kedudukan warga negara dalam kehidupan bermasyarakat Persamaan Kedudukan Warga Negara Dalam Kehidupan Berbangsa Dan Bernegara Kecuali – Australia PERSAMAAN KEDUDUKAN WARGA NEGARA | Mari Belajar Bersama 😘 Makalah Persamaan Kedudukan Warga Negara √ Materi PKN SMA Kelas X Tentang Persamaan Kedudukan Warga Negara Menghargai Persamaan Kedudukan Warga Negara Indonesia Halaman all - Kompas.com Power Point PKN Bab Persamaan warga negara - [PPT Powerpoint] DOC) makalah persamaan kedudukan warga negara | AKUN ALWAHIDA - Academia.edu Prinsip Persamaan Kedudukan Warga Negara di Berbagai Bidang - Humanesian bab 3 menelusuri dinamika demokrasi dlm kehidupan bermasyarakat berbangsa bernegara Persamaan Kedudukan Warga Indonesia dalam Kehidupan Bernegara Persamaan Kedudukan Warga Negara dalam Kehidupan Berm by fahrul fatah PERSAMAAN KEDUDUKAN WARGA NEGARA DALAM SEGALA ASPEK KEHIDUPAN – GR Sang Guru PKn DOC) Kd video | Agung Tesa Gumilar - Academia.edu Bab v Pers Warga Negara - [PDF Document] Menghargai Persamaan Kedudukan Warga Negara Dalam Berbagai Aspek Kehidupan PERSAMAAN KEDUDUKAN WARGA NEGARA. - ppt download Persamaan Kedudukan Warga Negara Tanpa Membedakan Ras, Agama by Ferby Wellness Makalah persamaan kedudukan warga negara dalam kehidupan bermasyarakat Persamaan Kedudukan Warga Negara Tanpa Membedakan Ras, Agama, Gender, Golongan, Budaya, dan Suku – Pelajaran Sekolah Online Aspek Persamaan Kedudukan Warga Negara - Educational Top Studies Files upaya meningkatkan prestasi belajar siswa melalui metode tutor Power Point PKN Bab Persamaan warga negara - [PPT Powerpoint] Menghargai Persamaan Kedudukan Warga PPT - BAB 5 PowerPoint Presentation, free download - ID:4634448 Persamaan Kedudukan Warga Negara Dalam Berbagai Aspek Ersamaan kedudukan warga negara dalam kehidupan bermasyarakat DOC) Soal PKN semua kelompok | aris dwi prasetyo - Academia.edu KELAS X SMA BAB 5 PERSAMAAN KEDUDUKAN WARGA NEGARA. - ppt download pkn.docx - Persamaan Kedudukan Warga Negara dalam Kehidupan Bermasyarakat Berbangsa dan Bernegara 1 Makna Persamaan Persamaan merupakan perwujudan | Course Hero Persamaan Kedudukan Warga Negara Indonesia dalam Kehidupan Bermasyarakat, Berbangsa,dan Bernegara | Faris Asy’arie Kelas X KD v Persamaan Kedudukan Warga Negara Dalam Berbagai Aspek Kehidupan - [DOC Document] Makna dan Pengertian Persamaan Kedudukan Warga Negara Indonesia PPT - BAB V PowerPoint Presentation, free download - ID:2347067 Ersamaan kedudukan warga negara dalam kehidupan bermasyarakat contoh perilaku yang menampilkan persamaan kedudukan warga negara dalam kehidupan bermasyarakat - Brainly.co.id Makna Persamaan Kedudukan Warga Negara pkn.docx - Persamaan Kedudukan Warga Negara dalam Kehidupan Bermasyarakat Berbangsa dan Bernegara 1 Makna Persamaan Persamaan merupakan perwujudan | Course Hero Hak dan Kewajiban Warga Negara Menurut UUD 1945 [Lengkap] RPP PKN XI ganjil 2 RPP PPKN Kelas XI Semester 1 Terbaru 20172018 Dokumen Pengajaran Guru RPP XI 2 KELAS X SMA BAB 5 PERSAMAAN KEDUDUKAN WARGA NEGARA. - ppt download Persamaan Kedudukan Warga Negara Dalam Berbagai Aspek Kehidupan Contoh Perilaku Yang Menampilkan Persamaan Kedudukan Warga Negara – Utama PERSAMAAN KEDUDUKAN WARGA NEGARA DALAM BERBAGAI ASPEK KEHIDUPAN | MASUD UMAR ATANGGAE aziglory012 → Blog: Bank Soal Bab 5 ~ Persamaan dan Kedudukan Warga Negara ~ MAKALAH PERSAMAAN KEDUDUKAN WARGA NEGARA. Untuk memenuhi Salah Satu Tugas Mata Pelajaran PKN - PDF Download Gratis Bab v Pers Warga Negara - [PDF Document] BAB I PENDAHULUAN 1.1 Latar Belakang Masalah Upaya meningkatkan kualitas sumber daya manusia merupakan tanggung jawab bersama, b RPP Kls. XI IPA KD 3.1 K-1 ok.pdf - Google Drive Dahulu sebelum adanya peraturan perundang undangan tentang kewarganegaraan | Course Hero KELAS X SMA BAB 5 PERSAMAAN KEDUDUKAN WARGA NEGARA. - ppt download MATERI KELAS X SMA BAB 5.docx PPT - BAB 5 PowerPoint Presentation, free download - ID:659749 DOC) PERSAMAAN KEDUDUKAN WARGA NEGARA DALAM BERBAGAI BIDANG KEDUDUKAN.docx | Aisyah Nurul Lathifah - Academia.edu Power Point PKN Bab Persamaan warga negara - [PPT Powerpoint] pemetaan sk Berikan 5 contoh penerapan prinsip persamaan kedudukan warga negara dalam berbagai bidang - Brainly.co.id BAB II TINJAUAN PUSTAKA A. Hakekat Pendidikan Kewarganegaraan 1. Pengertian Pendidikan Kewarganegaraan Penjelasan Pasal 37 Undan Ersamaan kedudukan warga negara dalam kehidupan bermasyarakat Scanned by CamScanner Mengapresiasi Sikap Terbuka Dalam Kehidupan Berbangsa Dan Bernegara – Pelajaran Sekolah Online RPP PPKN K13 Kelas XI Semester 2 Terbaru RPP 3 PKN XI sem 2 Cara Menghargai Persamaan Kedudukan Warga Negara – Hipotesis KD 5.3 | e-Civic Education Learning PERSAMAAN KEDUDUKAN WARGA NEGARA. - ppt download Hak dan Kewajiban WNI - Gurune.net Makna Persamaan Kedudukan Warga Negara Untitled Pasal 27 Ayat 1, 2, 3 - Bunyi, Dasar Hukum, Makna, Contoh Penjelasan Persamaan Kedudukan Warga Negara dalam Berbagai Aspek Kehidupan PPT - BAB V PowerPoint Presentation, free download - ID:2347067 Kelas X KD v Persamaan Kedudukan Warga Negara Dalam Berbagai Aspek Kehidupan - [DOC Document]

Setelah Portugis Akhirnya Bangsa Belanda Sampai Ke Indonesia Masuknya Belanda Ke Nusantara Karena

Sistem Operasi Yang Hanya Dapat Dijalankan Pada Komputer Jenis Apple