Melaporkan Kegiatan Membaca Buku Non Fiksi

Jan 28, 2021

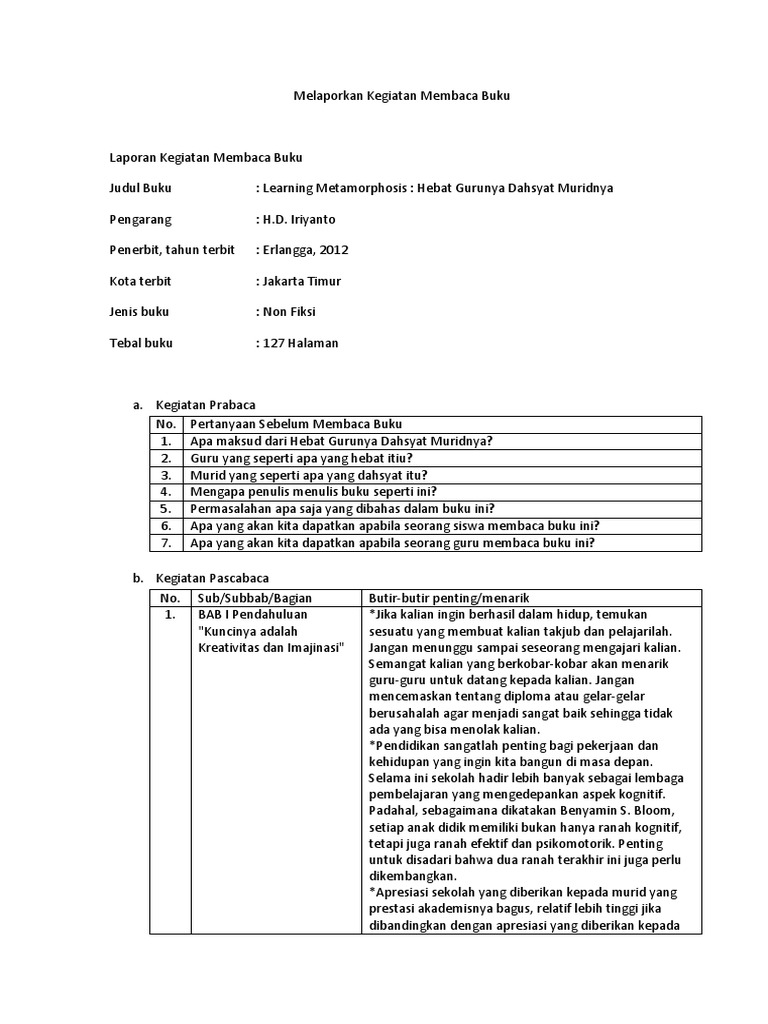
Laporan Buku Non Fiksi Indonesia Laporan Harian Kegiatan Membaca Buku Non Fiksi - Seputar Laporan Contoh Laporan Kegiatan Membaca Buku Non Fiksi Singkat - Seputar … Contoh Laporan Kegiatan Membaca Buku Biografi Tokoh – Ilustrasi Laporan Kegiatan Membaca Buku Contoh Melaporkan Kegiatan Membaca Buku - Guru Galeri Contoh Laporan Kegiatan Membaca Buku Fiksi - Seputar Laporan Mengidentifikasi novel fiksi dan non fiksi Contoh Laporan Kegiatan Membaca - Guru Galeri Laporan Kegiatan Membaca Buku Nonfiksi - Seputar Laporan 373448746-Tugas-Literasi-b-indonesia.docx Contoh Laporan Kegiatan Membaca Buku - Dunia Sosial Contoh Melaporkan Kegiatan Membaca Buku - Guru Galeri Contoh Laporan Kegiatan Membaca Buku Fiksi Singkat - Seputar Laporan Contoh Membuat Laporan Kegiatan Membaca Buku Melaporkan Kegiatan Membaca Buku Non Fiksi – Berbagai Buku Contoh Laporan Hasil Membaca Buku Non Fiksi - Kumpulan Contoh Laporan Contoh Laporan Kegiatan Membaca - Guru Galeri Contoh Membuat Laporan Kegiatan Membaca Buku Non Fiksi Melaporkan Kegiatan Membaca Buku Real Melaporkan Kegiatan Membaca Buku Nonfiksi (Pertemuan 3) - YouTube Laporan Kegiatan Membaca Buku Fiksi - Seputar Laporan Geliat, Sigap dalam Senyap Contoh Laporan Membaca Buku Fiksi - Guru Paud Melaporkan Kegiatan Membaca Buku Non Fiksi – Berbagai Buku Contoh Melaporkan Kegiatan Membaca Buku - Guru Galeri Contoh Laporan Kegiatan Membaca Novel - Seputar Laporan Laporan Kegiatan Membaca – Bah Melaporkan Kegiatan Membaca Buku Non Fiksi – Berbagai Buku Laporan Kegiatan Membaca Buku Nonfiksi.docx - Laporan Kegiatan … Laporan Kegiatan Membaca Buku Non Fiksi Halaman 1 - Kompasiana.com Contoh Laporan Harian Kegiatan Membaca Buku Non Fiksi - Guru Galeri kak, tolong tulis 5 kegiatan prabaca atau pertanyaan sebelum … Melaporkan Kegiatan Membaca Buku Non Fiksi - Seputar Laporan Contoh Laporan Kegiatan Membaca Buku - Dunia Sosial TUGAS BAHASA INDONESIA) LAPORAN HARIAN KEGIATAN MEMBACA BUKU NON … Laporan Buku Non Fiksi Indonesia Contoh Laporan Membaca Buku - Guru Paud Contoh Laporan Hasil Membaca Buku Fiksi – Eva Melaporkan Kegiatan Membaca Buku Non Fiksi – Berbagai Buku Contoh Laporan Harian Kegiatan Membaca Buku Fiksi Singkat … Contoh Laporan Membaca Buku Nonfiksi dan Cara Membuatnya Laporan Kegiatan Membaca Buku cerita Contoh Laporan Kegiatan Membaca Buku - Dunia Sosial Laporan Kegiatan Membaca Buku Nonfiksi.docx - Laporan Kegiatan … 3.9. Menyebutkan butir-butir penting dari dua buku non fiksi dan … Melaporkan Kegiatan Membaca Buku Novel – Rajiman Laporan Hasil Membaca buku NONFIKSI “Menjadi Sukses di Usia Muda … Bahasa Indonesia Kelas X Kurikulum 2013 Revisi 2016 Laporan Kegiatan Prabaca - a Laporan Kegiatan Prabaca Judul buku … Laporan Kegiatan Membaca Buku Nonfiksi Halaman 1 - Kompasiana.com Contoh Laporan Membaca Buku - Dunia Sosial Contoh Laporan Harian Kegiatan Membaca Novel - Guru Galeri Laporan Kegiatan Membaca Buku Laporan Isi Buku Fiksi Nonfiksi Sinopsis – Cute766 Melaporkan Kegiatan Membaca Buku Non Fiksi – Berbagai Buku Contoh Laporan Kegiatan Membaca Buku - Dunia Sosial Melaporkan Kegiatan Membaca Buku Novel – Rajiman 3.9. Menyebutkan butir-butir penting dari dua buku non fiksi dan … Laporan Harian Kegiatan Membaca Buku Non Fiksi - Seputar Laporan TUGAS BAHASA INDONESIA) LAPORAN HARIAN KEGIATAN MEMBACA BUKU NON … Modul literasi RPP 9 7. LITERASI.docx - RENCANA PELAKSANAAN … Contoh Melaporkan Kegiatan Membaca Buku - Guru Galeri Melaporkan Kegiatan Membaca Buku Non Fiksi – Berbagai Buku Contoh Laporan Hasil Membaca Buku Fiksi – Eva E. Melaporkan Kegiatan Membaca Buku 3.9. Menyebutkan butir-butir penting dari dua buku non fiksi dan … Laporan Harian Kegiatan Membaca Buku Non Fiksi - Seputar Laporan PDF) Implementasi Program Gerakan Literasi Sekolah Pada Tahap … Contoh Melaporkan Kegiatan Membaca Buku - Guru Galeri Contoh Laporan Membaca Buku - Guru Paud Contoh Laporan Membaca Buku Fiksi - Dunia Sosial Laporan Kegiatan Membaca Buku Non Fiksi Prabaca Dan Pascabaca … Contoh Laporan Kegiatan Membaca Buku Fiksi - Seputar Laporan Permendikbud 8/2016 - Buku yang Digunakan oleh Satuan Pendidikan Contoh Melaporkan Kegiatan Membaca Buku - Guru Galeri Melaporkan Kegiatan Membaca Buku Non Fiksi – Berbagai Buku Laporan Kegiatan Membaca Buku cerita Contoh Laporan Kegiatan Membaca Buku Non Fiksi – Bali Buku Guru Bahasa Indonesia - E-Learning SMA Negeri 1 Cianjur Permendikbud 8/2016 - Buku yang Digunakan oleh Satuan Pendidikan LAPORAN KEGIATAN LITERASI PDF) Lampiran 1. KI dan KD K-13 SD-MI. B. Indonesia.pdf | Riksan … Laporan Buku Non Fiksi - Guru Galeri Contoh Laporan Harian Kegiatan Membaca Buku Non Fiksi - Seputar … Buku Bahasa Indonesia Kelas 9 SMP/MTs Kurikulum 2013 Edisi Revisi … Identitas Buku Judul : Chairul Tanjung Si Anak Singkong Penulis … Buku BSE Kelas 07 smp bahasa Indonesia guru 2017 3.9. Menyebutkan butir-butir penting dari dua buku non fiksi dan … inbound3828942317632412466 Pages 51 - 100 - Flip PDF Download … Laporan Kegiatan Membaca Buku Non Fiksi Prabaca Dan Pascabaca … Melaporkan Kegiatan Membaca Buku Non Fiksi - Seputar Laporan tolong bantu ya harus dikumpul soalnya - Brainly.co.id Contoh Laporan Harian Kegiatan Membaca Buku Non Fiksi - Dunia Sekolah Laporan Kegiatan Membaca Novel - Guru Galeri √ 3+ Contoh Resensi Buku Non Fiksi Terbaik / Pelajaran / Pengetahuan Melaporkan Kegiatan Membaca Buku Non Fiksi – Berbagai Buku RPP Bhs. Indonesia Kls XII-SMS 1 Cara Menulis Ringkasan yang Baik untuk Laporan Membaca Buku

Contoh Negara Kesatuan Dan Negara Serikat

Problematika Kebudayaan Bagi Kehidupan Manusia