Makalah Kedudukan Warga Negara Dan Penduduk Indonesia

Jan 27, 2021

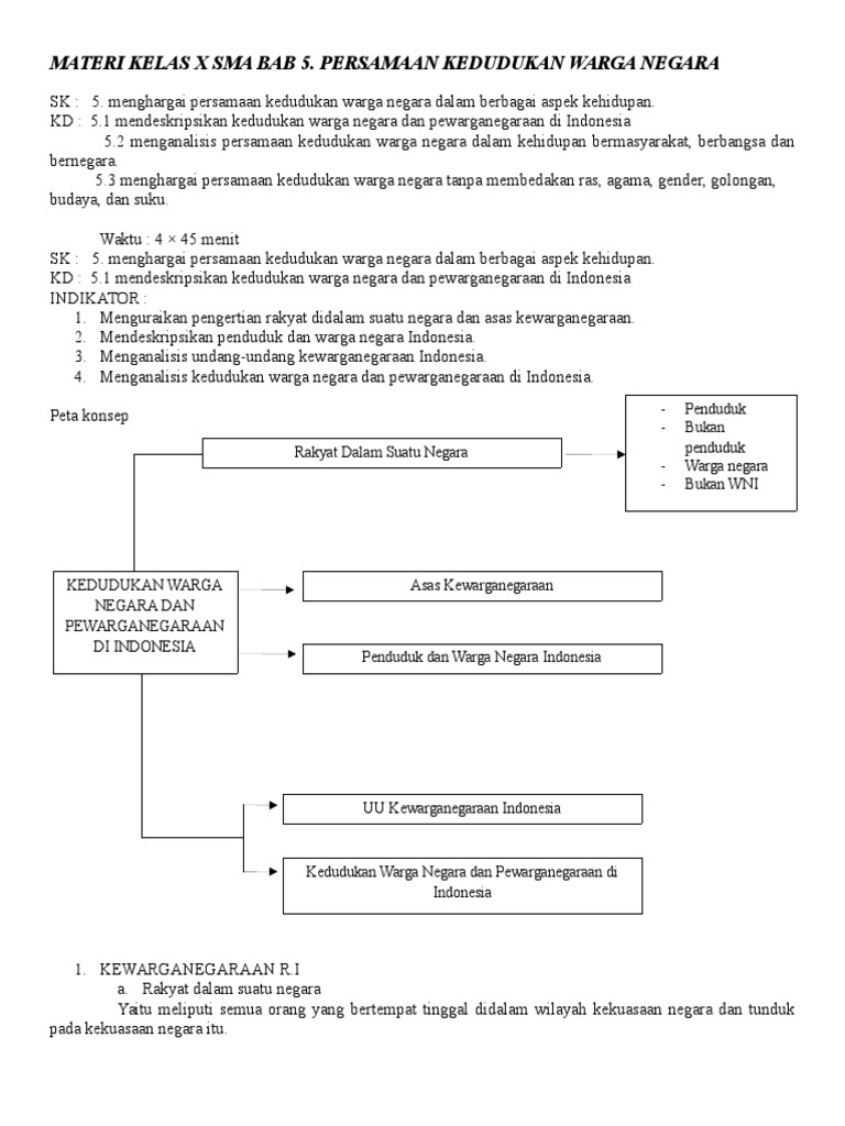
Kedudukan Warga Negara dan Penduduk Indonesia ⋆ DOC | PDF … DOC) KEDUDUKAN WARGA NEGARA DAN PENDUDUK INDONESIA DALAM KONTEKS … Makalah Kedudukan Warga Negara Dan Penduduk Indonesia Makalah pkn persamaan kedudukan warga negara Kedudukan Warga Negara Dan Penduduk Indonesia Makalah warga negara dan negara Makalah persamaan kedudukan warga negara dalam berbagai aspek kehidup… Makalah persamaan kedudukan warga negara dalam berbagai aspek kehidup… Makalah Kedudukan Warga Negara Dan Kewarganegaraan Di Indonesia … Makalah persamaan kedudukan warga negara dalam kehidupan bermasyarakat KEDUDUKAN WARGA NEGARA DAN PENDUDUK INDONESIA - ppt download KEDUDUKAN WARGA NEGARA DAN PENDUDUK INDONESIA - ppt download kedudukan warga negara dan kependudukan indonesia DOC) Makalah PKN - Menelaah Ketentuan Konstitusional Kehidupan … Makalah Kedudukan Warga Negra Indonesia Persamaan Kedudukan Warga Negara Dan Pewarganegaraan Indonesia … DOC) makalah PKN WNI.docx | Salma Putri - Academia.edu Makalah Kedudukan Warga Negra Indonesia Makalah persamaan kedudukan warga negara dalam kehidupan bermasyarakat WILAYAH NEGARA INDONESIA, PENDUDUK, DAN WARGA NEGARA. - ppt download PPT - PERSAMAAN KEDUDUKAN WARGA NEGARA PowerPoint Presentation … Makalah persamaan kedudukan warga negara dalam kehidupan bermasyarakat BAB 2 Ketentuan UUD NRI Tahun 1945 dalam dalam kehidupan Berbangsa … Makalah warga negara dan negara Makalah Kedudukan Warga Negara Dan Kewarganegaraan Di Indonesia … MAKALAH KEDUDUKAN WARGA NEGARA DALAM PROSES DEMOKRASI.docx … DOC) Kewarganegaraan dan Kedudukan Warga Negara | Suryaningsih … Makalah pengertian penduduk dan warga negara Makalah persamaan kedudukan warga negara dalam berbagai aspek kehidup… pkn Makalah Kewarganegaraan Dan Kedudukan Warga Negara Di Indonesia … Makalah persamaan kedudukan warga negara dalam kehidupan bermasyarakat Makalah Negara Kesatuan Republik Indonesia PKN Kelas XI PPT - PERSAMAAN KEDUDUKAN WARGA NEGARA PowerPoint Presentation … MAKALAH KEDUDUKAN WARGA NEGARA DALAM PROSES DEMOKRASI.docx … Kedudukan dan Peran Pemerintah Daerah ⋆ DOC | PDF ⋆ Download … Mendeskripsikan Kedudukan Warga Negara dan Pewarganegaraan Di … Makalah Kedudukan Warga Negara Dan Penduduk Indonesia Status Kedudukan Warga Negara Indonesia Sebagai Penduduk DOC) makalah persamaan kedudukan warga negara | AKUN ALWAHIDA … KELAS X SMA BAB 5 PERSAMAAN KEDUDUKAN WARGA NEGARA. - ppt download Makalah Kedudukan Warga Negara Dan Penduduk Indonesia Persamaan Kedudukan Warga Negara dalam Berbagai Aspek … Persamaan Kedudukan Warga Negara : Hak, Kewajiban, Asasnya Makalah asas kewarganegaraan kelompok 9 - MAKALAH PENDIDIKAN … PERSAMAAN KEDUDUKAN WARGA NEGARA Disusun oleh : Gebby Oktapuri … ketentuan UUD Persamaan Kedudukan Warga Negara dan Prinsip Persamaan Kedudukan … buatlah kesimpulan terhadap kedudukan warga negara dan penduduk … Makalah Hak Dan Kewajiban Warga Negara Ppt - Contoh Makalah KEDUDUKAN WARGA NEGARA DAN PENDUDUK INDONESIA - ppt download PPT - BAB 5 PowerPoint Presentation, free download - ID:659749 intansasaji: “KEDUDUKAN WARGA NEGARA DALAM SISTEM PEMERINTAHAN … Persamaan Kedudukan Warga Negara Tanpa Membedakan Ras, Agama … Makalah PKN Kelas 10 - PKN - Kedudukan Warga Negara dan Penduduk Indonesia … PPT - BAB 5 PowerPoint Presentation, free download - ID:4170540 Kedudukan warga negara dan penduduk Indonesia Hubungan Negara Dan Warga Negara Makalah Status Warga Negara Dan Penduduk Kwn Persamaan Kedudukan Warga Negara DOC) PPKN MAKALAH | Rafi Adam - Academia.edu Kedudukan Warga Negara dan Penduduk Indonesia | Santri PPKn Makalah warga negara dan negara DOC) Makalah Kewarganegaraan.docx | Bayu Sugara - Academia.edu Makalah warga negara dan negara tugas_pkn_smanta - B Kedudukan Warga Negara dan Penduduk Indonesia … Kata Pengantar Hubungan Negara Dan Warga Negara Makalah PDF) Kontekstualitas Makna “Bersamaan Kedudukan” di Dalam Hukum … KEDUDUKAN WARGA NEGARA DAN PENDUDUK INDONESIA - ppt download Soal PPKN : Warga Negara Indonesia (WNI) Lengkap - Muttaqin id Istilah kewarganegaraan - [PDF Document] PPT - PERSAMAAN KEDUDUKAN WARGA NEGARA PowerPoint Presentation … Kazikizi Blog: Makalah kedudukan warga negara dan penduduk di … tugas_pkn_smanta - B Kedudukan Warga Negara dan Penduduk Indonesia … PPT - PERSAMAAN KEDUDUKAN WARGA NEGARA PowerPoint Presentation … Makalah warga negara dan negara LAPORAN PENELITIAN – iinfitriyaniblog Makalah PPKN - PPKN.docx - MAKALAH KETENTUAN UUD NEGARA REPUBLIK … PDF) PERLINDUNGAN HUKUM HAK KESEHATAN WARGA NEGARA BERDASARKAN … Hubungan Negara Dan Warga Negara Makalah Makalah warga negara dan negara Warga Negara Adalah : Pengertian, Syarat Menjadi Warga Negara buatlah 5 pertanyaan tentang kedudukan warga negara dan penduduk … MUHAMMAD ALHADA FUADILLAH HABIB Hubungan Negara Dan Warga Negara Jurnal DOC) PENDIDIKAN KEWARGANEGARAAN, PEMAHAMAN TENTANG BANGSA DAN … Makalah Warga Negara Dan Negara | Galih Rema tugas_pkn_smanta - B Kedudukan Warga Negara dan Penduduk Indonesia … KEDUDUKAN WARGA NEGARA DAN PENDUDUK INDONESIA - ppt download UU 12 Tahun 2006 tentang Kewarganegaraan Republik Indonesia … TUGAS MAKALAH ILMIAH PENDIDIKAN KEWARGAN Menghargai Persamaan Kedudukan Warga Negara – Bali KEDUDUKAN WARGA NEGARA DAN PENDUDUK INDONESIA - ppt download Makalah pkn persamaan kedudukan warga negara HAK DAN KEWAJIBAN WARGA NEGARA - PDF Free Download Pengertian Kewarganegaraan Indonesia dan Kedudukan Warga Negara di … Makalah Kedudukan Warga Negra Indonesia KEDUDUKAN WARGA NEGARA & PERWAGA- NEGARAAN DI INDONESIA - PDF Free …

Cara Membuat Jajar Genjang Di Corel Draw

Kata Kerja Dalam Bahasa Arab Dan Artinya