Kurva Lorenz Dan Koefisien Gini

Jan 28, 2021

Slide Materi: Kesenjangan Pendapatan dan Kemiskinan | Pendidikan Ekonomi Apakah yang dimaksud dengan Koefisien Gini? - Akuntansi - Dictio Community TrueValueMetrics … Impact Accounting for the 21st Century gambarkan kurva lorenz dan berikan penjelasan tentang kurva tersebut - Brainly.co.id Ketimpangan Pendapatan (Pengertian, Penyebab dan Pengukuran) - KajianPustaka.com Noor Mutia: Distribusi Pendapatan DOC) Artikel Kurva Lorenz dan Koefisien Gini | Puji Sulistyowati - Academia.edu BAB II LANDASAN TEORI Sudah jelas bahwa pembangunan nasional menentukan GNP (Gross National Product) yang tinggi dan pertumbuhan Manfaat alat ukur distribusi pendapatan gini ratio biasanya ditunjukan dengan kurva lorenz - Brainly.co.id 4 kemiskinanketimpangandanpembangunan-121006095231-phpapp02 Membuat Kurva Lorenz dan Menghitung Koefisien Gini dengan MS Excel | Strategika! Rumus Kurva Lorenz | ardra.biz Ukuran Distribusi Pendapatan Statistik Sosial Tentang Kurva Lorenz Keterbatasan Indeks Gini sebagai Ukuran Ketimpangan Pendapatan dan Solusi Metoda Alternatif BAB II LANDASAN TEORI Sudah jelas bahwa pembangunan nasional menentukan GNP (Gross National Product) yang tinggi dan pertumbuhan Ketimpangan Pendapatan di Jawa Barat: Penyebab dan Solusi - ppt download Membuat Kurva Lorenz dan Menghitung Koefisien Gini dengan MS Excel | Strategika! Contoh Kurva Lorenz dan Gini Ratio yang Ekstrem Jurnal Ilmiah Mahasiswa (JIM) Ekonomi Pembangunan Fakultas Ekonomi dan Bisnis Unsyiah Volume 1 Nomor 1, Agustus 2016. Hal.77-87 Kurva Lorenz Dan Koefisien Gini - [PDF Document] Untitled Hakikat dan Permasalahan Distribusi Pendapatan (Income Distribution) Mengukur Distribusi Pendapatan (Gini Ratio) – Statistika Terapan Print Kurva Lorenz Pengertian Disparitas Pendapatan Antar Daerah - Definisi dan Pengertian Menurut Ahli Gini Ratio Kabupaten Gorontalo MENGHITUNG KOEFISIEN GINI Jurnal Inovasi Pendidikan Ekonomi Membuat Kurva Lorenz Dan Menghitung Koefisien Gini Dengan MS 4 kemiskinanketimpangandanpembangunan-121006095231-phpapp02 Dijelaskan dengan Jelas: Koefisien Gini dan kurva Lorenz Membuat Kurva Lorenz Dan Menghitung Koefisien Gini Dengan MS - [PDF Document] II. TINJAUAN PUSTAKA A. Ketimpangan Distribusi Pendapatan Ada BAB I PENDAHULUAN 1.1 Latar Belakang Masalah Pertumbuhan ekonomi menjadi salah satu tolak ukur keberhasilan pembangunan ekonomi Pendapatan per Kapita dan Distribusi Pendapatan Nasional | Ekonomi Kelas 11 Kurva Lorenz, Grafik Fungsi, Kurva gambar png Hakikat dan Permasalahan Distribusi Pendapatan (Income Distribution) Contoh Kurva Lorenz dan Gini Ratio yang Ekstrem distribusi-pendapatan.doc - D Distribusi Pendapatan Nasional Cara distribusi pendapatan nasional akan menentukan bagaimana pandapatan nasional yang | Course Hero Jurnal Dharmakarya KETERKAITAN ANTARA PERTUMBUHAN EKONOMI DAN DISTRIBUSI PENDAPATAN (Studi Kasus 35 Kabupaten/ Kota di Jawa Tengah tahun 2007-2008 Ketimpangan Ekonomi, Kemiskinan Dan Akses Informasi: Bagaimana Pengaruhnya Terhadap Kriminalitas Di Indonesia? DISTRIBUSI PENDAPATAN NASIONAL dan CARA MENGHITUNG KOEFISIEN GINI - YouTube Tentang Interpretasi Koefisien Gini | Log Berdasarkan kurva Lorenz di atas, jika luas daerah yang berada pada garis lengkung sebesar 3000, - Brainly.co.id Koefisien Gini: Cara Menghitung, Data, Pro dan Kontra DISTRIBUSI PENDAPATAN DAN KEMISKINAN - ppt download Membuat Kurva Lorenz dan Menghitung Koefisien Gini dengan MS Excel Dijelaskan dengan jelas: Koefisien Gini dan kurva Lorenz Posting tentang ketimpangan pendapatan. Presentasi: Ketimpangan distribusi pendapatan dan kemiskinan. Kemiskinan sebagai masalah ekonomi. Sejarah pembentukan PENYUSUNAN INDEKS GINI ketimpangan distribusi.docx - Ada beberapa indikator untuk mengukur tingkat ketimpangan distribusi pendapatan Berikut beberapa contohnya 1 Koefisien | Course Hero KETIMPANGAN DISTRIBUSI PENDAPATAN KAITANNYA DENGAN PERTUMBUHAN EKONOMI DAN KEMISKINAN SERTA FAKTOR – FAKTOR YANG MEMPENGARUHIN Kurva Lorenz Grandma Test: Assortative Mating and Income Inequality – Kanopi FEB – Universitas Indonesia ANALISIS TINGKAT KESEJAHTERAAN DAN KETIMPANGAN PENDAPATAN RUMAH TANGGA NELAYAN PELAGIS BESAR DI SENDANG BIRU, KABUPATEN MALANG, KURVA LORENZ - YouTube Prediksi Soal UTBK Ekonomi 2020 | Quipper Blog SATUAN ACARA PENGAJARAN Mata Kuliah : Ekonomi Pertanian Kode Mata Kuliah : SEP 203 Waktu Pertemuan : 100 menit Pertemuan ke : 13 Kurva Lorenz Pdf Editor | Mvna.puozhokov.site Jurnal Dharmakarya DOC) Makalah Kemiskinan dan Kesenjangan Pendapatan di Indonesia (PEREKONOMIAN INDONESIA) | Iman Gea - Academia.edu 53 BAB IV HASIL PENELITIAN DAN PEMBAHASAN A. Gambaran Umum Objek Penelitian 1. Gambaran Umum Kota Yogyakarta a. Aspek Geografis Untitled DISTRIBUSI PENDAPATAN WANITA MISKIN DAN PERANNYA TERHADAP PENDAPATAN KELUARGA DI KECAMATAN TUMPAAN ANALISIS DISTRIBUSI MANFAAT PADA KEBIJAKAN KREDIT UNTUK MASYARAKAT MISKIN DI PROVINSI JAWA TIMUR : STUDI PENERAPAN BENEFIT INCID Pertemuan 11 - Pak Kartika ANALISIS PRODUKTIVITAS SEKTORAL TERHADAP TINGKAT KEMISKINAN DAN KETIMPANGAN PENDAPATAN DI JAWA TENGAH - Diponegoro University | Institutional Repository (UNDIP-IR) Gini Ratio Kabupaten Gorontalo GINI RATIO - .diagonal dan kurva Lorenz dibagi dengan luas separuh bidang di mana kurva Lorenz itu - [PDF Document] Definisi Indeks Gini - Forex Indonesia Kurva Lorenz Plot Koefisien Gini Sudut, Sudut, sudut, teks png | PNGEgg Tingkat Ketimpangan di Indonesia Terendah Dalam 7 Tahun SPATIAL INEQUALITIES IN THE PROVISION OF PRIVATE HEALTH FACILITIES IN OYO STATE pendapatan - DistroDoc ANALISIS KETIMPANGAN DISTRIBUSI PENDAPATAN DI PROPINSI SUMATERA UTARA SHITA TIARA nal Education and development Page 4 - Perpustakaan Lemhannas RI Ketimpangan Distribusi Pendapatan | Ekonomi Kurva Lorenz Koefisien Gini Sudut Distribusi normal, Sudut, sudut, teks png | PNGEgg MAKALAH ANALISIS PEREKONOMIAN INDONESIA KELOMPOK 4 - THE OTHER SIDE Lorenz Curve (Definisi, Contoh) | Apa itu Lorenz Curve dalam bidang Ekonomi? Untitled ANALISIS DISTRIBUSI PENDAPATAN MASYARAKAT DI KECAMATAN AIRMADIDI KABUPATEN MINAHASA UTARA Top PDF Kurva Lorenz BAB II TINJAUAN PUSTAKA 2.1 Landasan Teori 2.1.1 Ketimpangan Distribusi Pendapatan Pendapatan merupakan sejumlah uang yang dite Prediksi Soal UTBK Ekonomi 2020 | Quipper Blog Jurnal Ilmiah Mahasiswa (JIM) Ekonomi Pembangunan Fakultas Ekonomi dan Bisnis Unsyiah Volume 1 Nomor 1, Agustus 2016. Hal.17-28 Membuat Kurva Lorenz dan Menghitung Koefisien Gini dengan MS Excel.docx - https/strategika.wordpress.com/membuat-kurva-lorenz Membuat Kurva Lorenz dan | Course Hero Distribusi Pendapatan (Kurva Lorenz Dan Rasio Gini Uli Ria Savira 9 BAB II KAJIAN TEORI 2.1 Landasan Teori 2.1.1 Ketimpangan Distribusi Pendapatan Kesejahteraan atau kemakmuran masyarakat suatu Mengukur Distribusi Pendapatan (Gini Ratio) – Statistika Terapan PPT - Pendapatan nasional PowerPoint Presentation, free download - ID:3325803 Membuat Kurva Lorenz Dan Menghitung Koefisien Gini Dengan MS Berdasarkan kurva Lorenz tersebut, koefisien gini diperoleh dengan cara ….a. menambah luas daerah - Brainly.co.id Kurva Lorenz, Kurva, Plot gambar png Untitled BAB II LANDASAN TEORI. Sudah jelas bahwa pembangunan nasional menentukan GNP (Gross - PDF Download Gratis KONSEP PENDAPATAN NASIONAL | SS belajar

Cara Masuk Stan Melalui Jalur Undangan

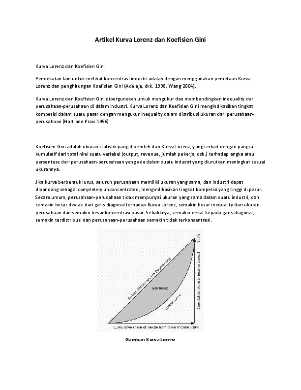
Interaksi Dalam Ekosistem Membentuk Suatu Pola