Kode Remote Ac Multi Joker 4000

Jan 27, 2021

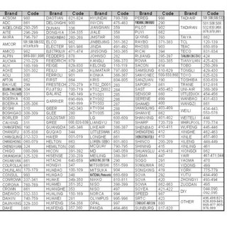
Jual Remote Ac Multi Joker ( Bisa Semua Merk ) di Lapak Bintang Kalimantan | Bukalapak Kode Remote AC Universal – RoelSpace Joker Ac Remote MULTI JOKER AC REMOTE UNIVERSAL AC-4000 - Toko Sigma Cara setting remot AC Multi Universal Merek Joker 4000 (100% pasti langsung bisa) - YouTube Jual Remote Ac Multi Joker ( Bisa Semua Merk ) di Lapak Bintang Kalimantan | Bukalapak Joker Ac Remote Remot/Remote AC ELECTROLUX FUJITSU GREE HAIER HITACHI MULTI/UNIVERSAL (KODE B4458) | Shopee Indonesia √ 5 Langkah Setting Remote Ac Universal 100% Berhasil | Hargaspeaker.com Joker Ac Remote cara setting remot multi ac – KETON TEKNIK INDONESIA Remot AC Universal / Remot Joker Multi | Shopee Indonesia Kode Remot Joker Kode Remot TV Lengkap MULTI JOKER AC REMOTE UNIVERSAL AC-4000 - Toko Sigma Remote AC Universal Joker remote ac multi | Shopee Indonesia Jual Best Product JOKER ac-4000 Remote remot Ac Universal bisa buat semua Merek ac bonus di Lapak amelia su | Bukalapak √ [MUDAH] Begini Cara Setting Remote AC Universal!! - Elektronik123 Kode remote AC universal yang bisa anda gunakan – Karya Graha Utama KODE Q6 Remote ac Universal chunghop K-1028 | Shopee Indonesia Jual Remote AC Universal Joker AC-4000 AC4000 Akari Akira Aux Daikin Sharp Samsung Uchida LG Midea Gree di Lapak Globalhicomp | Bukalapak CARA SETTING REMOTE AC DAN KODE REMOTENYA - YouTube Joker Ac Remote Universal Air Conditioner Remote Control Codes remot remote ac multi universal joker ac-4000 lg sharp panasonic - Elektronik Lainnya » Elektronik » - Bukalapak.com | inkuiri.com Manual Remote AC joker 4000 Multi RM99+ID – RoelSpace Kode Remot Joker Jual Kode Remote Ac Universal Murah - Harga Terbaru 2021 Remot Remote AC Multi Universal Joker AC-4000 (LG, Sharp, Panasonic, Polytron, Samsung, Mitsubishi) | Lazada Indonesia Kode Remot TV Lengkap Remote AC Universal Joker 6000: Membeli jualan online Aksesoris AC dengan harga murah | Lazada Indonesia Daftar harga Joker Remote Ac Universal Multi Putih Bulan Januari 2021 diskon - remote ac universal joker ac-3000 ac-4000 untuk hampir semua merk ac - Elektronik Lainnya » Elektronik » Rumah Tangga » - Bukalapak.com | inkuiri.com Remot remote AC multi fungsi universal joker | Shopee Indonesia Joker Ac Remote Cara Setting Remote AC Universal Lengkap dengan Kode | egsean.com Kode Remote AC Multi Lengkap dan Cara Setting Remote AC Universal - Delta Multi Technic Jual Remote AC JOKER 3000 MULTI - Sawah Besar - Abadi Centra Jaya | Tokopedia KODE Q6 Remote ac Universal chunghop K-1028 | Shopee Indonesia Kode Remot Joker Kode Remot TV Lengkap Daftar Kode Remote Ac Multi Joker 4000 - Daftar Ini Jual Remote Ac Multi Joker ( Bisa Semua Merk ) di Lapak Bintang Kalimantan | Bukalapak Cara Setting Remote AC Universal K1028E Untuk Polytron kode 117 #id Know - YouTube Jual Remote AC Universal / Multi Joker - Kota Surabaya - Alef | Tokopedia Kode Remot AC Joker Lengkap A sampai Z dan Cara Setting – KODE REMOT Universal Air Conditioner Remote Control Codes Remote AC Joker AC-2000 Multi RM99+ID | Shopee Indonesia LowPower » JeeLabs Kode Remote Ac Joker 5000 – Kamus Jual Remote AC Multi joker 4000 - Jakarta Pusat - Central Abadi led | Tokopedia Jual Aksesoris AC Joker | lazada.co.id Kode Remot Joker Jual Remote AC universal Newsat + Fungsi Senter Newsat NE 1828A Kualitas - Jakarta Barat - Arnov_Store | Tokopedia Kode Remote Ac Joker 5000 – Kamus Cara reset remote ac daikin Universal Air Conditioner Remote Control Codes Remote ac/remote ac joker tipe 4000 | Shopee Indonesia rahasia setting remote AC universal kode tidak ada yang cocok dan merk AC bukan pasaran tidak umum - YouTube modul ac multi- pcb ac universal- remote ac untuk ac standing - AC » Elektronik » Rumah Tangga » - Bukalapak.com | inkuiri.com Cara Memasukkan Kode Remot TV Samsung Tabung dan LCD | Panduan Teknisi Joker Ac Remote Kode Remote MultiRM99+ID joker123 | KASKUS Jual Kode Remote Ac Universal di Jakarta Selatan - Harga Terbaru 2021 Cara reset remote ac daikin Jual Aksesoris AC Joker | lazada.co.id Jual Remote AC Universal Joker AC-4000 AC4000 Akari Akira Aux Daikin Sharp Samsung Uchida LG Midea Gree di Lapak Globalhicomp | Bukalapak Kode Remote MultiRM99+ID joker123 | KASKUS JUAL remote ac universal merk joker type ac 5000 | inkuiri.com Diagram Kulkas Sharp FULL HD Quality Version Kulkas Sharp - TQM-DIAGRAM.RADD.FR Universal Air Conditioner Remote Control Codes Kode Remot TV Joker Lengkap – KODE REMOT Kode Remot Joker UNBOXING & REVIEW REMOTE AC | REMOTE AC PENGGANTI | REMOT AC MULTI JOKER AC-6000 | KODE REMOTE JOKER - YouTube REMOTE AC MULTI K-1030E JUN DA BERBAGAI MERK AC 4000 KODE | Shopee Indonesia Jual Kode Remote Ac Universal di Jakarta Selatan - Harga Terbaru 2021 Kode remote AC universal yang bisa anda gunakan – Karya Graha Utama Jual REMOTE AC UNIVERSAL / MULTI R410a R32 / INVERTER Online Januari 2021 | Blibli Kode Remote MultiRM99+ID joker TV-1+ for LED TV COOCAA | KASKUS REMOTE AC MULTI K-1030E JUN DA BERBAGAI MERK AC 4000 KODE | Shopee Indonesia Kode Remot AC CHANGHONG dari Berbagai Seri (Type) – KODE REMOT Kode Remote AC Multi Lengkap dan Cara Setting Remote AC Universal - Delta Multi Technic Cara Memasukkan Kode Remot TV Samsung Tabung dan LCD | Panduan Teknisi Universal Air Conditioner Remote Control Codes Cara setting remot ac universal tanpa kode || remote ac universal || cara pakai remot universal - YouTube Joker Ac Remote Jual Remote Ac Multi Joker AC-4000 bonus breket remote di Lapak Citra Plastik | Bukalapak Jual Kode Remote Ac Universal Murah - Harga Terbaru 2021 Kode Remote MultiRM99+ID joker123 | KASKUS Universal Air Conditioner Remote Control Codes REMOTE AC MULTI K-1030E JUN DA BERBAGAI MERK AC 4000 KODE | Shopee Indonesia Cara cari kode remote ac merk SAMSUNG - SHARP - YouTube Jual Remot AC Osmond Universal Remot Pendingin Ruangan AC2000 1000 in 1 - Kab. Sragen - Electronic Great Source | Tokopedia diskon - remote ac universal joker ac-3000 ac-4000 untuk hampir semua merk ac - Elektronik Lainnya » Elektronik » Rumah Tangga » - Bukalapak.com | inkuiri.com Kode Remot Joker Daftar Kode Remote AC Joker 4000 – KODE REMOT Universal Air Conditioner Remote Control Codes Kode Remote MultiRM99+ID joker123 | KASKUS Remote AC JOKER Merek LG ( tanpa set kode ) | Lazada Indonesia √ [MUDAH] Begini Cara Setting Remote AC Universal!! - Elektronik123

Megumin Wallpaper Hd

Game Diamond Rush Android