Jelaskan Cara Memasuki Garis Finish Lari Jarak Pendek

Jan 27, 2021

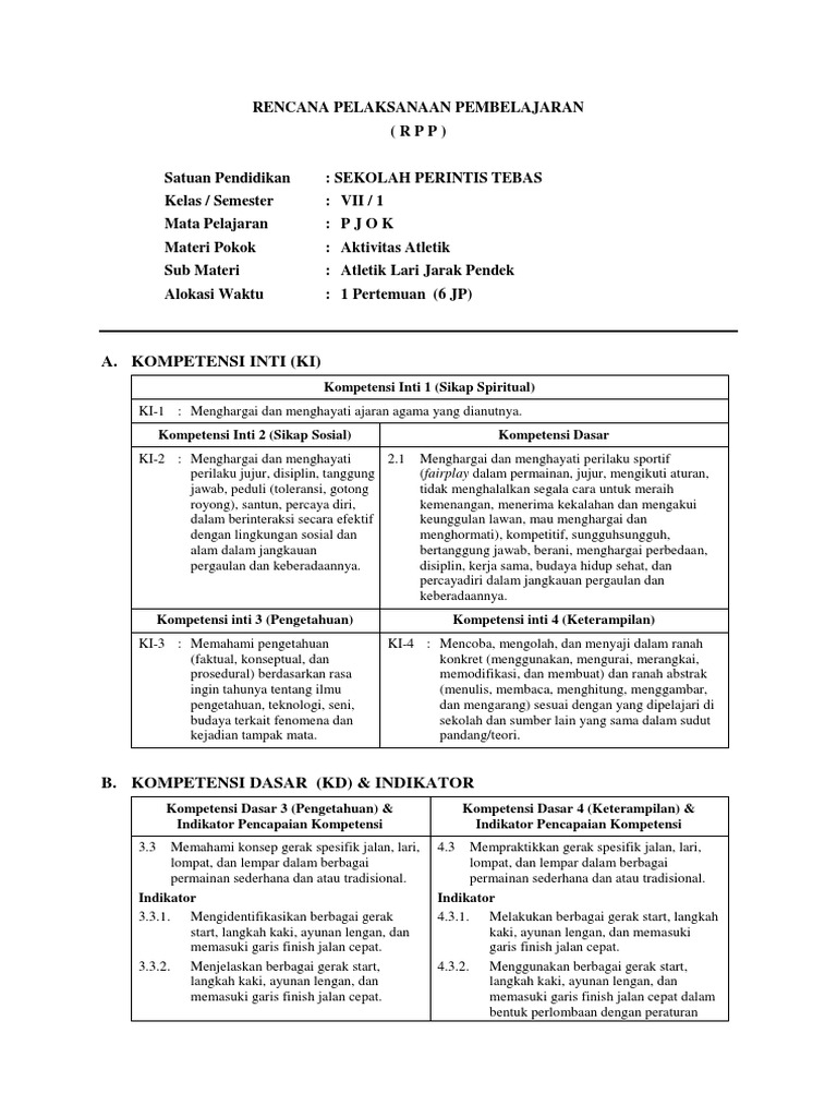
jelaskan cara memasuki garis finish lari jarak pendek ,tolong … Jelaskan tiga cara memasuki garis finish pada lari jarak pendek … Cara Memasuki Garis Finish Dalam Lari Jarak Pendek Lengkap … Cara memasuki garis finishpada nomor lari jarak pendek!adalah … Cara Memasuki Garis Finish Dalam Lari Jarak Pendek Lengkap … Cara Memasuki Garis Finish Pada Lari Jarak Pendek (Sprint … bagaimanakah teknik gerakan memasuki garis finish pada lari jarak … Jelaskan cara memasuki garis finish lari jarak pendek - Brainly.co.id Sebutkan dan Jelaskan teknik start dan finish jalan cepat dan lari … Teknik Lari Jarak Pendek dan Teknik Melewati Garis Finish Rpp Lari Jarak Pendek Olahraga Lari Jarak Menengah Cara Memasuki Garis Finish Dalam Lari Jarak Menengah | Edukasi … Teknik Memasuki Garis Finish Pada Atletik - e-Pjok Cara Memasuki Garis Finish Dalam Lari Jarak Pendek Lengkap … 4 Cara Melewati Garis Finish Lari Jarak Pendek | Websiteedukasi.com Pjok bs kls 11 sem1 Sebutkan Macam Macam Sikap Start Pada Lari Jarak Pendek - Sebutkan Itu Pendidikan jasmani, olahraga, dan kesehatan (buku siswa) B. jawablah pertanyaan-pertanyaan dibawah ini dengan benar! start, teknik jalan cepat, dan - .20.Cara memasuki garis finish … Lari jarak 1500 meter Teknik Memasuki Garis Finish – Terbaru 3 Teknik Lari Jarak Pendek Lengkap Penjelasan dan Gambar … LARI JARAK PENDEK (Teknik Dasar, Langkah-Langkah Lari Jarak Pendek … jelaskan cara memasuki garis finish lari jarak pendek? - Brainly … Teknik Memasuki Garis Finish – Terbaru Teknik Melewati Garis Finish pada Lari Jarak Pendek Halaman all … 32. Perhatikan pernyataan di bawah inil1) Menolak ke depan dengan … 9. Jelaskan cara melakukan ayunanskan cara melakukan langkah kaki … Analisis Keterampilan Gerak Memasuki Garis Finish Lari Jarak … Berdoa dan Belajar: LARI CEPAT JARAK PENDEK 50 METER 3 Teknik Lari Jarak Pendek, Mulai dari Start Sampai Finish | ShopBack Pengertian, Teknik dan Peraturan Lari Jarak Pendek - KajianPustaka.com 8 Teknik Lari Sprint yang Benar Beserta Gambarnya - OlahragaPedia.com √ Pengertian, Teknik Dasar dan Nomor Lari Jarak Pendek (Lengkap) Lari Jarak Pendek Lengkap (Teknik, Nomor Lari, Ukuran Lapangan, dll) Lari Jarak Pendek Lengkap (Teknik, Nomor Lari, Ukuran Lapangan, dll) Pengertian Lari Jarak Pendek, Teknik, Variasi dan Kombinasi Teknik Dasar Lari Jarak Pendek (Sprint) - YouTube Lari Jarak Pendek (Sprint):Pengertian, Nomor, Pengetahuan Dasar … Jelaskan Cara Melakukan Start Jalan Cepat - Seputar Jalan lari jarak sedang Soal Penjaskes Lari Jarak Pendek - Guru Paud Rpp Lari Jarak Pendek 7 3 Teknik Dasar Lari Jarak Pendek (Sprint) | Freedomsiana bantu aku dong teman2 itu soale penjas - Brainly.co.id Pengertian, Teknik dan Peraturan Lari Jarak Pendek - KajianPustaka.com Jelaskan Cara Melakukan Gerakan Dalam Jalan Cepat - Seputar Jalan Bab 5 akt. atletik Jelaskan cara melakukan gerakan memasuki garis finish lari jarak … Pengertian, Teknik dan Peraturan Lari Jarak Pendek - KajianPustaka.com Teknik Memasuki Garis Finish – Terbaru Pjok bs kls 11 sem1 RPP PJOK SMP Kelas 7 Kurikulum 2013 Edisi Revisi 2017 … Teknik Dasar Lari Jarak Pendek (Start, Sikap Lari, dan Finish … Inilah Tahapan Dalam Pertandingan Lari Jarak Pendek … √ Materi Lari Jarak Menengah: Pengertian, Sejarah, Teknik, Peraturan √ Sejarah, Teknik, dan Peraturan Lari Jarak Menengah (Terlengkap) 432 Mempraktekkan berbagai variasi dan kombinasi keterampilan … Lari Jarak Menengah Lengkap (Teknik, Peraturan, Ukuran Lapangan, dll) Sebutkan Macam Macam Start Dalam Lari Jarak Pendek - Sebutkan Itu Lari Estafet/Sambung Kelas XI Semester 2. Lari Estafet/Sambung … Sebutkan teknik Saat memasuki garis finish dalam lari jarak pendek … √ Lari Jarak Menengah | Teknik Dasar, Nomor Lari, Peraturan rpp 3 3 Teknik Lari Jarak Pendek Lengkap Penjelasan dan Gambar … Jelaskan Teknik Melewati Garis Finish Dalam Lari Jarak Jauh – Bah jelaskan tiga macam teknik memasuki garis finish pada lari jarak … Soal Penjaskes Lari Jarak Pendek - Guru Paud Peraturan Dasar Lari Jarak Pendek 8.jelaskan cara melakukan langkah kaki dalam lari jarak pendek 9 … Soal Penjaskes Lari Jarak Pendek - Guru Paud Lari Jarak Pendek Lengkap (Teknik, Nomor Lari, Ukuran Lapangan, dll) 3 Teknik Lari Jarak Pendek Lengkap Penjelasan dan Gambar … 4-Penjaskes-SMP-Kelas-7 Jelaskan cara memasuki garis finish lari jarak pendekplis kakak … jelaskan 3 cara memasuki garis finish pada lari jarak pendek … Teknik Start pada Lari Jarak Pendek Halaman all - Kompas.com 7 Larangan Dalam Lari Jarak Pendek - OlahragaPedia.com Pengertian, Teknik dan Peraturan Lari Jarak Pendek - KajianPustaka.com Jelaskan Perbedaan Lari Jarak Pendek Dengan Lari Jarak Menengah … Lari Estafet/Sambung Kelas XI Semester 2. Lari Estafet/Sambung … Teknik Memasuki Garis Finish – Terbaru 3 Teknik Lari Jarak Pendek Lengkap Penjelasan dan Gambar … Jelaskan cara memasuki garis finish pada lari estafet - Brainly … Lembar Kerja Siswa Pjok TAHUN AJARAN 2020/2021 Smp Negeri … Teknik Memasuki Garis Finish – Terbaru Teknik Memasuki Garis Finish – Terbaru Sebutkan Teknik Start Dalam Olahraga Jalan Cepat - Sebutkan Itu 3 Teknik Lari Jarak Pendek Lengkap Penjelasan dan Gambar … Rpp Lari Jarak Pendek 100 m SMA kelas X Jelaskan cara memasuki garis finish lari jarak pendekplis kakak … Teknik Memasuki Garis Finish – Terbaru 05 Bab 5 Aktivitas Atletik Cara Memasuki Garis Finish Dalam Lari Jarak Pendek Lengkap … Teknik Gerakan Memasuki Garis Finish Jelaskan cara memasuki garis finish lari jarak pendek - Brainly.co.id Teknik Memasuki Garis Finish – Terbaru Jelaskan Cara Melakukan Lari Sambung atau Estafet? - Ensiklopedia …

Sebutkan Teknik Teknik Dasar Dalam Permainan Bola Basket

Contoh Pelaksanaan Ham Dalam Kehidupan Berbangsa Dan Bernegara