Jabatan Dalam Bidang Keuangan Perusahaan

Jan 28, 2021

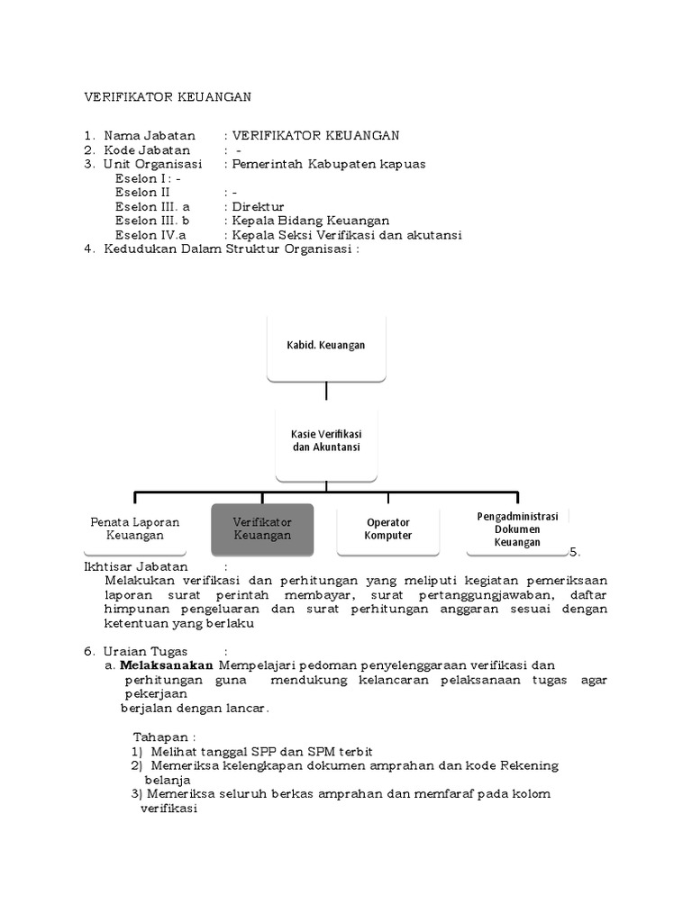
Jabatan dan karir dalam bidang keuangan perusahaan Jabatan dan karir dalam bidang keuangan perusahaan Jabatan dan karir dalam bidang keuangan perusahaan Pengantar Keuangan Dan Akuntansi: Posisi Bidang Keuangan Dalam … Situs Resmi BPKP 2021 Jabatan dan karir dalam bidang keuangan perusahaan Struktur Organisasi Perusahaan dan Tugas Tiap Posisi Jabatan … Struktur Organisasi Perusahaan dan Tugas Tiap Posisi Jabatan … Jabatan dan karir dalam bidang keuangan perusahaan Jabatan dan karir dalam bidang keuangan perusahaan Jabatan Dan Karir Dalam Bidang Keuangan - Akuntansi jabatan atau karir dalam bidang keuangan KI & KD Paket Pilihan Akuntansi Jabatan dan karir dalam bidang keuangan perusahaan √ Bagan Struktur Organisasi Perusahaan Beserta Tugas dan Contohnya DOC) Struktur organisasi Perusahaan Jasa | Marco Chandra … Pengertian Manajemen Keuangan Adalah | Konsep Uang | Deskripsi Umum Struktur Organisasi Perusahaan | Kerja Usaha Struktur Perusahaan | Panin Sekuritas Struktur Organisasi Mengenal Perusahaan Industri Manufaktur - Talenta √ Bagan Struktur Organisasi Perusahaan Beserta Tugas dan Contohnya Situs Resmi BPKP-RI Sekretariat Jenderal Kementerian Keuangan Indocement - Kokoh Terpercaya Membangun Negeri Jabatan dan karir dalam bidang keuangan perusahaan Urutan Jabatan Dalam Perusahaan - Markshare Training Struktur Organisasi – Angkasa Pura Properti Nama Jabatan dan Bagian (Departmen) di Kantor dalam Bahasa Jepang … Fungsi manajemen keuangan INKA - Organisasi Lintiani: JABATAN / KARIR DALAM BIDANG KEUANGAN PERUSAHAAN Uraian Tugas Unit Penagihan PROSPEK DAN PELUANG POSISI-POSISI JABATAN DALAM BIDANG MANAJEMEN … Fungsi Manajemen PT Pertamina (Persero) – Experience DOC) Job Description (UraianPekerjaan) Manajer Keuangan | Ria … PT. Dirgantara Indonesia (Persero) Struktur, Tugas dan Fungsi – BPBD Kab. Bogor MANAJEMEN KEUANGAN. - ppt download Jabatan atau karir dalam bidang keuangan perusahaan - Brainly.co.id Jabatan dan karir dalam bidang keuangan perusahaan Mengenal Metode Penyusunan Struktur dan Skala Upah 6 Jenis Struktur Organisasi Beserta Fungsinya - Trier Consulting √ 5 Bidang-Bidang Manajemen dan Penjelasannya Indocement - Kokoh Terpercaya Membangun Negeri 7 Contoh Struktur Organisasi yang Baik dan Benar, Lengkap … 402486189-ANJAB-VERIFIKATOR-KEUANGAN-docx.docx General Manager Adalah : Gaji, Tugas, Wewenang dan Keahlian Bidang Spesialisasi Akuntansi PROSPEK DAN PELUANG POSISI-POSISI JABATAN DALAM BIDANG MANAJEMEN … BPJS Ketenagakerjaan CP PROGRAM STUDI DIPLOMA TIGA MANAJEMEN KEUANGAN 2016 STRUKTUR ORGANISASI : Pengertian, Bagan, Fungsi dan Tugasnya … Struktur Perusahaan | Panin Sekuritas STRUKTUR ORGANISASI Struktur Organisasi – RAHMA BAKERY PDF) EVALUASI PENGELOLAAN KINERJA KEUANGAN BERBASIS ARUS KAS PADA … Sebutkan Jabatan Atau Karir Dalam Bidang Keuangan Perusahaan … Struktur Organisasi Proyek Beserta Tugas Masing-Masing Pekerja … Contoh Surat Lamaran Pekerjaan Untuk Akuntansi Dan Keuangan (Staff … Seluruh Komisaris Independen BCA tidak memiliki hubungan Kabag Akuntansi dan Mobilisasi Dana Menekuni Bidang Manajemen Keuangan, Jangan Takut Nganggur. Ini … 21 Contoh Surat Pengalaman Kerja Simple Menarik Unik Apa yang Anda butuhkan untuk menjadi direktur keuangan. CFO … PELUANG KARIR DI BIDANG MANAJEMEN KEUANGAN Sudah saatnya DJP di-up grade dan perlunya Regulasi Renewable Tax … Stop Khawatir dan Menerka-nerka, Ini Lho Daftar Jabatan yang Boleh … Jabatan atau karir dalam bidang keuangan perusahaan - Brainly.co.id Keuangan & Accounting | Contoh SOP Dokumen SOP Terbaru 2019‎ Job Desc Accounting Staff | Pengadaan (Eprocurement) Sebutkan Jabatan Atau Karir Dalam Bidang Keuangan Perusahaan … Sistem Manajerial Dan Organisasi DI Perusahaan Manufaktur – Site Title BPJS Ketenagakerjaan PDF) Analisa Karir - Akuntan | Roy Warella - Academia.edu PROSPEK DAN PELUANG POSISI-POSISI JABATAN DALAM BIDANG MANAJEMEN … jabatan atau karir dalam bidang keuangan Akuntan Yang Bertugas Memeriksa - Free Photos Struktur Organisasi - Departemen Desain Interior Struktur Organisasi PT. Konveksi Pakaian Indah by sella wattimena Fungsi Controller 3 - [PDF Document] PT Bursa Efek Indonesia Asisten Bidang Umum, Bidang Keuangan, dan Bidang Teknik PT … HR Manager dan Bagaimana Peran Pentingnya di Perusahaan Struktur Organisasi – Disnaker Dinas Perindustrian dan Perdagangan 7 Contoh Struktur Organisasi yang Baik dan Benar, Lengkap … Tugas Dan Fungsi Jabatan Dalam Perusahaan Pers – Berita7.net PENGANTAR AKUNTANSI 1 Berbasis IFRS - ppt download Pengertian Organisasi Perusahaan - Struktur, Bentuk, Perseorangan STRUKTUR ORGANISASI Pentingnya Job Description dalam Sebuah Perusahaan - JojoBlog Analisis Jabatan (Pengertian, Tujuan, Aspek, Metode dan Tahapan … Struktur Organisasi | STIT Hamzah Fansuri ptelastisrekaaktif Instagram posts - Gramho.com Mengenal Metode Penyusunan Struktur dan Skala Upah Struktur Organisasi Perusahaan yang Ideal & Dapat Anda Tiru! | Sleekr Audit SDM dan Analisa Jabatan | Contoh Job Description Manajer SDM atau HRD Manager - PDF Download … Struktur Organisasi | Direktorat Jenderal Pajak

Anatomi Akar Batang Dan Daun

Puisi Anak Sd Kelas 6