Contoh Telaah Syair

Jan 27, 2021

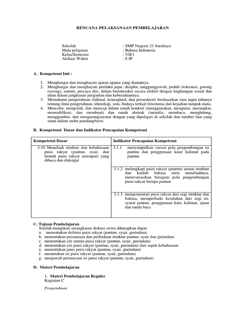
Telaah syair ,menelaah stuktur dan aspek kebahasaan pada syait … telaah syair berikut dari struktur penyajian dan jenis kalimat … buatlah telaah untuk syair di bawah ini. - Brainly.co.id buatlah telaah untuk syair diatas - Brainly.co.id telaahlah syair berikut satu persatu yang yg 1 dan 2 saja … Tugas Bahasa Indonesia Kelas VII “Menelaah Struktur dan Aspek … Plis tolongin.. Gurindam. Dan telaah struktur dan bahasa pada … tolong ya kak tolong telaah syair ini plz…. - Brainly.co.id tolong dong kakak brainly!hari ini dikumpul buatlah telaah dari … 4menelaah Struktur Dan Aspek Kebahasaan Pada Syair - Berbagi Struktur telaah pantun , gurindam dan syair - Brainly.co.id telaah syair perahu bait ke 1 dan 2! - Brainly.co.id perhatikan syair berikut kemudian telaah (pemeriksaan) lah dengan … TUGAS TELAAH PUISI manalah struktur dan aspek kebahasaan pada syair - Brainly.co.id contoh telaah struktur pantun pada larik 1 dan 2,larik 3 dan 4 … DOC) Paper Telaah Puisi | Khaerul Ikhsan - Academia.edu Syair (Pengertian, Cori-ciri, dan Telaah) - YouTube menelaah struktur dan bahasa Gurindam dengan orang tua Jangan … Contoh Syair Singkat Brainly | Cikimm.com Contoh Syair Pendidikan 5 Bait | Cikimm.com PDF) Telaah Makna Gramatis dan Psikologis dalam Syair Abdul Muluk … Telaah struktur dan kebahasaannya - Brainly.co.id Contoh Syair Tentang Ilmu | Cikimm.com Contoh Menelaah Pantun Gurindam Dan Syair | Cikimm.com TUGAS TELAAH PUISI PDF) KEMATIAN DAN ALAM BARZAH DALAM SYAIR FATWA KIAMAT (Telaah … C Menelaah Struktur Dan Kebahasaan Pada Puisi Rakyat - Berbagi … Ciri ciri pantun dapat dilihat berdasarkan bentuknya Ciri ciri ini … Contoh Syair Kiasan 5 Bait | Cikimm.com (10.1) RPP KD 3.10 kelas 7 (Smpn 21).docx Contoh dan Jawaban Soal Menelaah Struktur dan Aspek Kebahasaan … √Pengertian Menelaah dan Contoh Telaah dalam Teks Laporan Percobaan Mewarisi Nilai Luhur dan Mengkreasikan Puisi Rakyat 18+ Contoh Makalah Bahasa Indonesia Tentang Gurindam Contoh Syair Pendidikan 4 Bait | Cikimm.com TELAAH PUISI BALI. Oleh : I Gusti Ketut Ardhana. Ketut Nuarca … Evaluasi Telaah Puisi Rakyat | Education Quiz - Quizizz Contoh Syair Tentang Ilmu | Cikimm.com Ciri ciri pantun dapat dilihat berdasarkan bentuknya Ciri ciri ini … Kelas 07 smp bahasa indonesia siswa 2017 by P’e Thea - issuu C Menelaah Struktur Dan Kebahasaan Pada Puisi Rakyat - Berbagi … Contoh Soal Menyajikan dan Pembahasan Hasil Telaah Model Teks … TELAAH PUISI BALI. Oleh : I Gusti Ketut Ardhana. Ketut Nuarca … Buku Guru Bahasa Indonesia SMP/MTs Kelas VII - Kurikulum 2013 … Buku ajar puisi Contoh Syair Nasehat 2 Bait | Cikimm.com telaah puisi ( sem 3).docx 18+ Contoh Makalah Bahasa Indonesia Tentang Gurindam Puisi. Telaah. Cubitan. Taman. Secangkir Teh. Sisipan Mastera … √ Kumpulan Contoh Contoh Puisi Rakyat - Contoh Kumpulan Puisi … Contoh Menelaah Pantun Gurindam Dan Syair | Cikimm.com Buku ajar puisi Kelas 07 smp bahasa indonesia siswa 2017 by P’e Thea - issuu C Menelaah Struktur Dan Kebahasaan Pada Puisi Rakyat - Berbagi … Contoh Syair Kehidupan 4 Bait | Cikimm.com Mewarisi Nilai Luhur dan Mengkreasikan Puisi Rakyat C Menelaah Struktur Dan Kebahasaan Pada Puisi Rakyat - Berbagi … Contoh Syair Berbakti Kepada Orang Tua | Cikimm.com Kepercayaan Masyarakat Pra-Islam Berdasarkan Syair-Syair … Puisi. Telaah. Cubitan. Taman. Secangkir Teh. Sisipan Mastera … KD 310-410.docx - RENCANA PELAKSANAAN PEMBELAJARAN(RPP 10 Nama … Menelaah Struktur dan Kebahasaan pada Puisi Rakyat | Lembur Singkur Contoh Syair Singkat | Cikimm.com C Menelaah Struktur Dan Kebahasaan Pada Puisi Rakyat - Berbagi … Ciri ciri pantun dapat dilihat berdasarkan bentuknya Ciri ciri ini … Puisi. Telaah. Cubitan. Taman. Secangkir Teh. Sisipan Mastera … 18+ Contoh Makalah Bahasa Indonesia Tentang Gurindam Analisis PUISI Contoh Menelaah Pantun Gurindam Dan Syair | Cikimm.com 10. RPP 2 Puisi Rakyat - Copy.docx - RPP BIND SMP VII MGMP Kota … Mewarisi Nilai Luhur dan Mengkreasikan Puisi Rakyat Analisis PUISI PDF) ANALISIS STRUKTUR “KASIDAH BURDAH”, INTERTEKTUALITAS, DAN … C Menelaah Struktur Dan Kebahasaan Pada Puisi Rakyat - Berbagi … Contoh Menelaah Pantun Gurindam Dan Syair | Cikimm.com PDF) SYAIR MAMBANG JAUHARI: TELAAH STRUKRURAL-SEMIOTIK Telaah Puisi Arab 1 Mewarisi Nilai Luhur dan Mengkreasikan Puisi Rakyat Syair Ikan Terubuk - Page 5 of 5 - LAM Riau Buku ajar puisi Arti Kata Telaah C Menelaah Struktur Dan Kebahasaan Pada Puisi Rakyat - Berbagi … 18+ Contoh Makalah Bahasa Indonesia Tentang Gurindam Maulana Jalaluddin Rumi (1207-1273 M): Telaah atas Keindahan Syair … TELAAH PUISI BALI. Oleh : I Gusti Ketut Ardhana. Ketut Nuarca … Telaah Puisi Arab 1 Arti Kata Telaah Ciri ciri pantun dapat dilihat berdasarkan bentuknya Ciri ciri ini … PDF) SYAIR PUTRI HIJAU: Sebuah Telaah Filologi | Nuhaisah Dada … √Cara Menelaah Struktur dan Kebahasaan pada Puisi Rakyat | Bahasa … Mewarisi Nilai Luhur dan Mengkreasikan Puisi Rakyat BUKU INDUK BAHASA INDONESIA: Pantun, Puisi, Syair, Peribahasa … Contoh Syair Romantis 3 Bait | Cikimm.com 18+ Contoh Makalah Bahasa Indonesia Tentang Gurindam PDF) TELAAH SEMIOTIK PENDIDIKAN NASIONALISME DALAM PUISI “RISĀLAH … Ciri ciri pantun dapat dilihat berdasarkan bentuknya Ciri ciri ini … BAB 5 BAHAN AJAR MODUL PUISI LAMA SEBAGAI … digunakan sebagai … Syair Perang Siak - LAM Riau GreatEdu

Jawaban Brain Out Tebak Kode Sandi

Download Tebak Tebakan