Contoh Soal Pembuktian Identitas Trigonometri

Jan 28, 2021

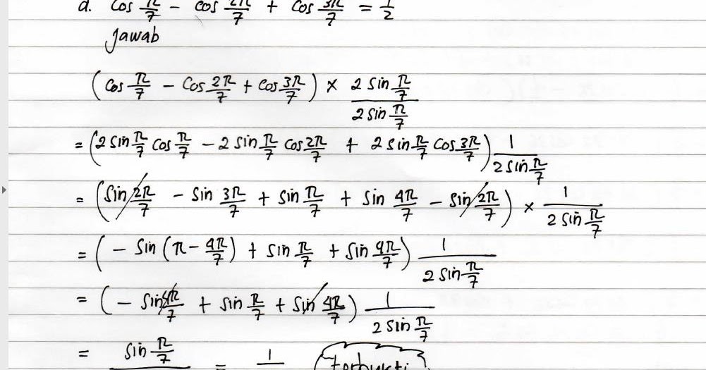
Kumpulan Soal Pembuktian Identitas Trigonometri Kumpulan Soal Pembuktian Identitas Trigonometri | Trigonometri Rumus Contoh Soal Identitas Trigonomentri, Pembahasan, Pembuktian … Kumpulan Soal Pembuktian Identitas Trigonometri Rumus Contoh Soal Identitas Trigonomentri, Pembahasan, Pembuktian … Pelajaran, Soal & Rumus Identitas Trigonometri | Wardaya College Kumpulan Soal Pembuktian Identitas Trigonometri Kumpulan Soal pelajaran 8: Contoh Soal Identitas Trigonometri Cara cepat dan mudah membuktikan identitas trigonometri. Soal dan … Identitas Trigonometri | Pendidikan Matematika | Laman 2 Identitas Trigonometri | Pendidikan Matematika Soal Pembuktian Identitas Trigonometri #fazanugas - YouTube Kumpulan Soal pelajaran 8: Contoh Soal Identitas Trigonometri Identitas Trigonometri - Rumus, Penjelasan, Pembuktian, Soal, Jawaban Tolong bantu cara pembuktian identitas trigonometri dong … Pembuktian Identitas Trigonometri Soal dan Pembahasan Identitas Trigonometri (1-5) - Istana Matematika Contoh Soal Identitas Trigonometri | Kumpulan Soal pelajaran 7 Rumus Contoh Soal Identitas Trigonomentri, Pembahasan, Pembuktian … Kumpulan Soal dan Pembahasan Identitas Trigonometri - Matematrick Rumus Dan Contoh Soal Identitas Trigonometri Lengkap Contoh Soal Dan Pembahasan Identitas Trigonometri Uji Kompetensi 2 … Soal Dan Pembahasan Identitas Trigonometri – IlmuSosial.id Soal Pembuktian Identitas Trigonometri #fazanugas - YouTube Kumpulan Soal pelajaran 8: Contoh Soal Identitas Trigonometri Pelajaran, Soal & Rumus Identitas Trigonometri | Wardaya College Rumus Identitas Trigonometri Lengkap | idschool pembuktian identitas trigonometri tan a = sin a/cos a - Brainly.co.id Rumus Contoh Soal Identitas Trigonomentri, Pembahasan, Pembuktian … Contoh soal pembuktian identitas perkalian trigonometri - Ilmu Hitung Identitas Trigonometri | Pendidikan Matematika | Laman 3 Pembuktian teorema pythagoras dengan identitas trigonometri Identitas Trigonometri: Pembuktian Rumus dan Contoh Soal … Kumpulan Soal dan Pembahasan Identitas Trigonometri - Matematrick Ilmu Pengetahuan 10: Contoh Soal Persamaan Trigonometri Kelas 11 … Pembuktian Rumus Trigonometri Sudut Rangkap dan Contoh Soal … Kumpulan Soal Pembuktian Identitas Trigonometri Identitas Trigonometri - Rumus, Penjelasan, Pembuktian, Soal, Jawaban Matematika Kelas 10 - Bab 06 - 09 Identitas Trigonometri … Contoh Soal Trigonometri Identitas – Ruang Guru dan Siswa Contoh Soal Identitas Trigonometri Kelas Xi - Contoh Soal Terbaru Kumpulan Contoh Soal Contoh Soal Identitas Trigonometri - Cute766 Kumpulan Soal Matematika SMA: Pembahasan Soal Pembuktian Rumus … Rumus Identitas Trigonometri : Contoh Soal dan Pembuktian (Mudah … Identitas Trigonometri - Sudut Istimewa, Sifat, Rumus Dan Contoh Rumus Contoh Soal Identitas Trigonomentri, Pembahasan, Pembuktian … Pelajaran, Soal & Rumus Identitas Trigonometri | Wardaya College Pembuktian Identitas Trigonometri Identitas Trigonometri - Sudut Istimewa, Sifat, Rumus Dan Contoh Menghitung Tinggi Pohon Menggunakan Rumus Identitas Trigonometri Rumus Identitas Trigonometri + Contoh Soal Persamaan Trigonometri … Identitas Trigonometri: Pembuktian Rumus dan Contoh Soal … Soal dan Pembahasan - Aplikasi Trigonometri - Mathcyber1997 Cara mudah menyelesaikan Identitas trigonometri (part 2) - YouTube Soal Dan Jawaban Pembuktian Identitas Trigonometri - Peranti Guru Limit Fungsi Trigonometri √ Trigonometri: Identitas, Rumus, Turunan, Tabel, Contoh Soal Contoh soal membuktikan identitas penjumlahan dan pengurangan … Rumus Trigonometri Serta Cara Memperolehnya – Rumus Matematika tolong kasih contoh soal pembuktian identitas trigonometri beserta … Kumpulan Rumus Trigonometri : Contoh Soal & Jawaban (Lengkap) PDF) Tugas dan Jawaban Trigonometri (pembuktian identitas … Kumpulan Contoh Soal Contoh Soal Identitas Trigonometri - Cute766 Rumus Identitas Trigonometri : Contoh Soal dan Pembuktian (Mudah … Kumpulan Soal pelajaran 8: Contoh Soal Identitas Trigonometri Rumus Identitas Trigonometri Lengkap | idschool Identitas Trigonometri: Pembuktian Rumus dan Contoh Soal … BAB 8 TRIGONOMETRI Sumber gambar : peusar.blogspot.com. - ppt download Perbandingan Trigonometri (Tabel, Identitas, Contoh Soal) | Guru … Soal Dan Pembahasan Identitas Trigonometri – IlmuSosial.id Tugas Kelompok (Fungsi Trigonometri) Contoh Soal Matematika Peminatan Kelas 11 Identitas Trigonometri Kumpulan Rumus Trigonometri : Contoh Soal & Jawaban (Lengkap) KUMPULAN SOAL DAN PEMBAHASAN IDENTITAS TRIGONOMETRI Contoh Soal Trigonometri II Halaman all - Kompas.com √ Trigonometri: Identitas, Rumus, Turunan, Tabel, Contoh Soal Identitas Trigonometri | Pendidikan Matematika | Laman 2 Kumpulan Soal Pembuktian Identitas Trigonometri Perbandingan Trigonometri (Tabel, Identitas, Contoh Soal) | Guru … Soal dan Pembahasan Super Lengkap - Penerapan Identitas … Rumus Trigonometri Serta Cara Memperolehnya – Rumus Matematika Mempelajari Pembuktian Identitas dalam Trigonometri - Bangku Sekolah Menghitung Tinggi Pohon Menggunakan Rumus Identitas Trigonometri identitas trigonometri Rumus Identitas Trigonometri Lengkap | idschool Soal Dan Jawaban Pembuktian Identitas Trigonometri – IlmuSosial.id Mengenal, Menggunakan dan Membuktikan Identitas Trigonometri Dasar … Contoh Soal Identitas Trigonometri Sudut Rangkap – Bah Perbandingan Trigonometri : Sudut Istimewa, Identitas, Kuadran … Power point identitas trigonometri GloriTyas X.1 TRIGONOMETRI Identitas Trigonometri - Sudut Istimewa, Sifat, Rumus Dan Contoh rumus-identitas-trigonometri-lengkap-contoh-soal-dan-pembahasan IDENTITAS TRIGONOMETRI - ppt download Contoh Soal Trigonometri Kelas 11 – Surabaya Rumus Identitas Trigonometri : Contoh Soal dan Pembuktian (Mudah … Contoh Soal Persamaan Trigonometri Kelas 10 Dan Pembahasannya Link … Soal-soal Latihan Pembuktian Trigonometri - Konsep Matematika (KoMa) Pembuktian Rumus Penjumlahan Trigonometri dan Contoh Soal … Rumus Trigonometri Dan Contoh-Contoh Soal Beserta Jawabannya

Contoh Kesan Pesan Dalam Bahasa Inggris

Bentuk Gerakan Arah Bola Hasil Melakukan Tembakan